Tutorials References Exercises Videos Menu
Create Website Get Certified Upgrade

Data Science - Statistics Correlation vs. Causality


Correlation Does Not Imply Causality

Correlation measures the numerical relationship between two variables.

A high correlation coefficient (close to 1), does not mean that we can for sure conclude an actual relationship between two variables.

A classic example:

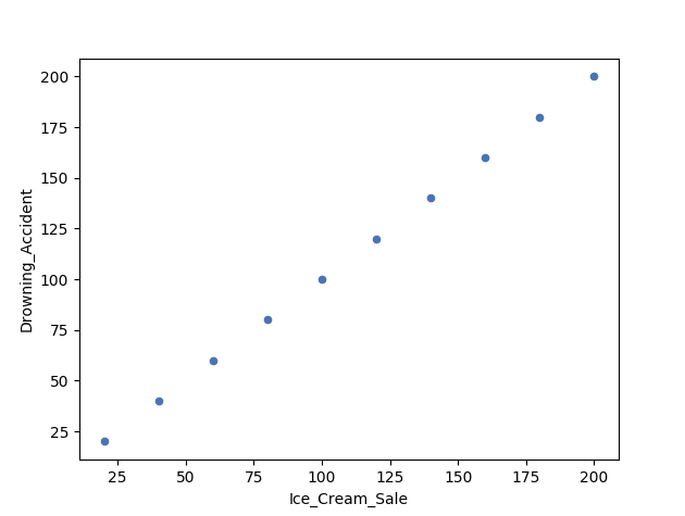
  • During the summer, the sale of ice cream at a beach increases
  • Simultaneously, drowning accidents also increase as well

Does this mean that increase of ice cream sale is a direct cause of increased drowning accidents?


The Beach Example in Python

Here, we constructed a fictional data set for you to try:

Example

import pandas as pd
import matplotlib.pyplot as plt

Drowning_Accident = [20,40,60,80,100,120,140,160,180,200]
Ice_Cream_Sale = [20,40,60,80,100,120,140,160,180,200]
Drowning = {"Drowning_Accident": [20,40,60,80,100,120,140,160,180,200],
"Ice_Cream_Sale": [20,40,60,80,100,120,140,160,180,200]}
Drowning = pd.DataFrame(data=Drowning)

Drowning.plot(x="Ice_Cream_Sale", y="Drowning_Accident", kind="scatter")
plt.show()

correlation_beach = Drowning.corr()
print(correlation_beach)
Try it Yourself »

Output:

Correlation vs. Causality

Correlation vs Causality - The Beach Example

In other words: can we use ice cream sale to predict drowning accidents?

The answer is - Probably not.

It is likely that these two variables are accidentally correlating with each other.

What causes drowning then?

  • Unskilled swimmers
  • Waves
  • Cramp
  • Seizure disorders
  • Lack of supervision
  • Alcohol (mis)use
  • etc.

Let us reverse the argument:

Does a low correlation coefficient (close to zero) mean that change in x does not affect y?

Back to the question:

  • Can we conclude that Average_Pulse does not affect Calorie_Burnage because of a low correlation coefficient?

The answer is no.

There is an important difference between correlation and causality:

  • Correlation is a number that measures how closely the data are related
  • Causality is the conclusion that x causes y.

Tip: Always critically reflect over the concept of causality when doing predictions!